
A recent paper published in Nature from Phil Baran’s lab at Scripps Research, in collaboration with Merck & Co., reports a scalable total synthesis of saxitoxin and neoSTX in fewer than ten steps. This is a significant advance. Previous synthesis routes were long, costly, and impractical at scale, making pharmacological exploration of analogs difficult. By removing reliance on natural sources, this streamlined approach opens the door to broader chemical and pharmacological investigation of this compound class.

Neuroservices-Alliance contributed to the electrophysiological validation component of this study, conducting ex vivo recordings in dissociated rat dorsal root ganglion (DRG) neurons to confirm neoSTX’s inhibition of sodium channels and support its translational potential.

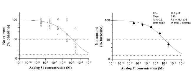
Dose–response curves of Scripps Analog 51 on sodium currents in rat DRG neurons
Using voltage-clamp recordings, we precisely quantified voltage-gated Na⁺ currents, however, they provide only a partial view of drug effects relevant to pain modulation. Voltage-clamp recordings provide an essential but partial view of drug effects relevant to pain modulation. To move beyond channel-level readouts and capture true physiological output, we are extending this work to include current-clamp recordings, which allow direct measurement of action potential firing and drug-induced changes in neuronal excitability. We are also incorporating our 24-well high-density MEA platform into this validation pipeline, further expanding the ability to assess compound effects at the network level.
As these compounds continue to evolve from mechanistic tools into therapeutic leads, the convergence of advances in synthesis chemistry and functional biology makes this an exciting space to watch.

This collaboration is a reminder that rigorous electrophysiology is not limited to drug discovery pipelines. Fundamental research questions — about how ion channels work, how toxins interact with them, and how novel synthetic compounds behave in living neurons — require the same precision and the same tools. Whether the goal is a clinical candidate or a contribution to the scientific literature, the underlying biology demands the same standard of functional validation. Our contribution to this work was published in Nature — a testament to the scientific rigor our team brings to every collaboration.
At Neuroservices-Alliance, we are equipped to support research programs across the full spectrum: from early pharmacological screening to translational validation, and from pharmaceutical programs to academic and basic science collaborations. If your research requires functional electrophysiology data — whatever the context — we welcome the conversation.
Schedule a meeting with our scientific team to discuss how we can support your research needs.

For more on our electrophysiology capabilities and the assays behind this work: