At Neuroservices-Alliance, we pride ourselves on our cutting-edge capabilities in the analysis of proconvulsive effect. Our advanced profiling assay is designed to detect pro-convulsive compounds using hippocampal slices, providing our clients with reliable, predictive, and high-quality pharmacological data.
Introduction
Our assay evaluates the potential pro-convulsive effects of compounds by examining their impact on epileptiform discharges (ED) in hippocampal slices. Epileptiform discharges are massive and synchronous discharges of neuronal groups, commonly observed in patients with epilepsy. These discharges can be reduced or suppressed by AEDs, making our assay a valuable tool for drug development.

Key Features and Benefits
- Comprehensive Screening: Our assay includes reference pro-convulsive compounds such as Theophylline, Aminophylline, Eserine, Pentylenetetrazole, Pilocarpine, Strychnine, Bicuculline, Caffeine, and Picrotoxin. We also test neutral and toxic compounds like Acetaminophen, Fluoxetine, Ascorbate, and Potassium Cyanide to ensure no false positives.
- Predictive Accuracy: Our assay has demonstrated high predictability, detecting all reference pro-convulsive compounds without any false positives among the neutral compounds evaluated.
- Steady and Reliable Results: The rate and amplitude of 4-AP-induced ED remain steady over long periods, providing consistent and reproducible data.
- Customizable Assays: We offer customizable assays to evaluate compound dose ranges and other specific requirements.
Pharmacological Data Highlights
- Theophylline: Increases 4-AP-induced ED and slightly decreases ED amplitude, confirming its pro-convulsive properties.

- Aminophylline: Transiently increases 4-AP-induced ED and slightly decreases ED amplitude, used as a bronchodilator for respiratory diseases.

- Eserine: Significantly increases 4-AP-induced ED and decreases ED amplitude, acting as a reference pro-convulsive compound.

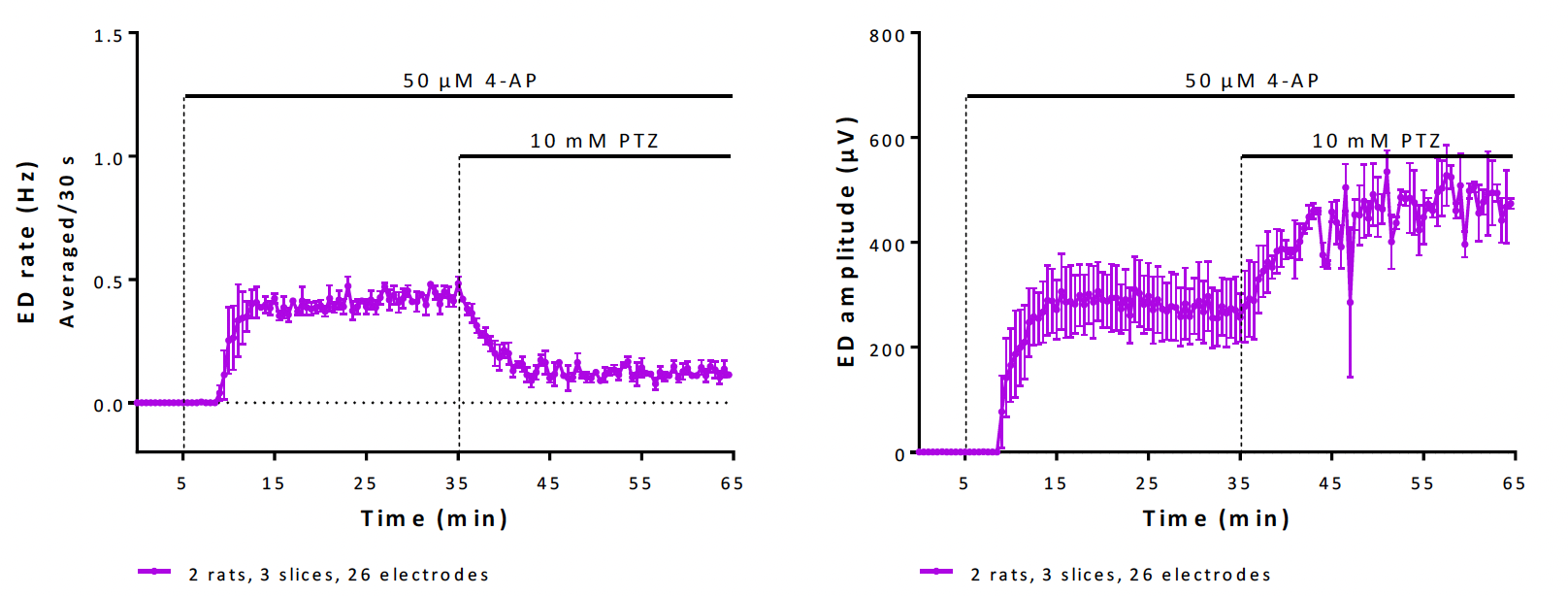
- Pentylenetetrazole (PTZ): Widely used in seizure liability assays, decreases ED rate while increasing ED amplitude.

- Pilocarpine: Largely increases ED rate and decreases ED amplitude, commonly used to induce chronic epilepsy in rats.

- Strychnine: Decreases ED rate and increases ED amplitude, demonstrating its pro-convulsive properties.

- Bicuculline: Majorly increases ED amplitude with stable ED rate, acting as a reference pro-convulsive compound.

- Caffeine: Increases both ED rate and amplitude, known for its wide spectrum adenosine receptor antagonism.

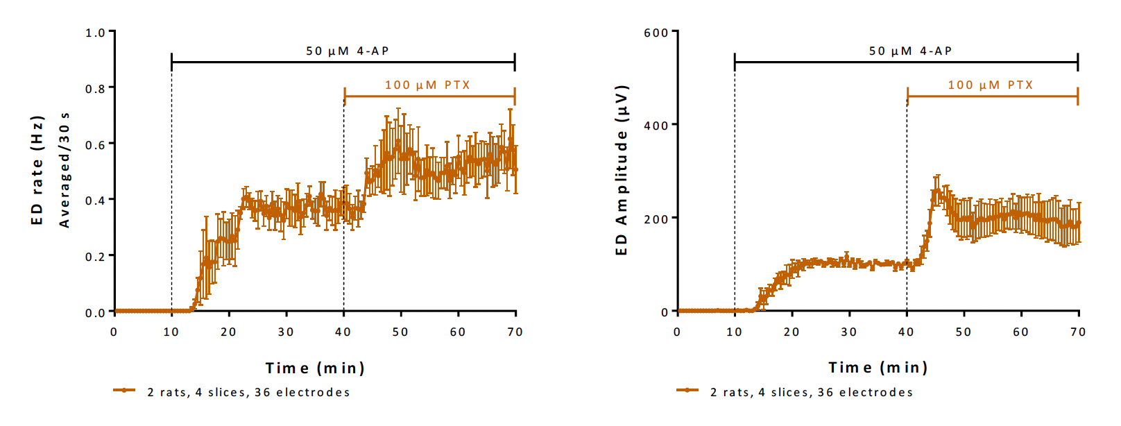
- Picrotoxin: Dose-dependently increases ED rate and amplitude, useful for evaluating a compound’s dose-range.

Neutral Compound
- Acetaminophen: Acetaminophen, a COX-2 inhibitor, does not modify the rate or amplitude of 4-AP-induced ED, confirming its non-pro-convulsive properties.

- Fluoxetine: Fluoxetine (Prozac®), an SSRI, does not modify the rate or amplitude of 4-AP-induced ED, indicating low propensity to cause seizures within the therapeutic window.

- Ascorbate: Ascorbate (Vitamin-C) does not modify the rate or amplitude of 4-AP-induced ED, showcasing its non-pro-convulsive nature.

Toxic Compounds
- Potassium Cyanide: Potassium cyanide, a highly toxic compound, fully inhibits the ED induced by 4-AP. It acts on mitochondrial cytochrome c oxidase and is a potent inhibitor of cellular respiration, causing rapid cell death.

Conclusion
Our pro-convulsive compound screening assay is a predictive, reliable, and cost-effective solution for evaluating AED compounds. By leveraging our expertise and state-of-the-art methodologies, Neuroservices-Alliance is committed to advancing epilepsy research and supporting the development of effective anti-epileptic treatments.
Ready to discuss your ongoing research? Contact us to see how we can assess your ongoing Anti-Epileptic Drug research.
Go back